ACTA MATHEMATICA
UNIVERSITATIS COMENIANAE




Vol. LXXX, 2 (2011)
p. 251 - 253

A closed-form expression for second-order recurrences

E. Haji-Esmaili and S. H. Ghaderi

Received: June 10, 2010;   Accepted: March 17, 2011



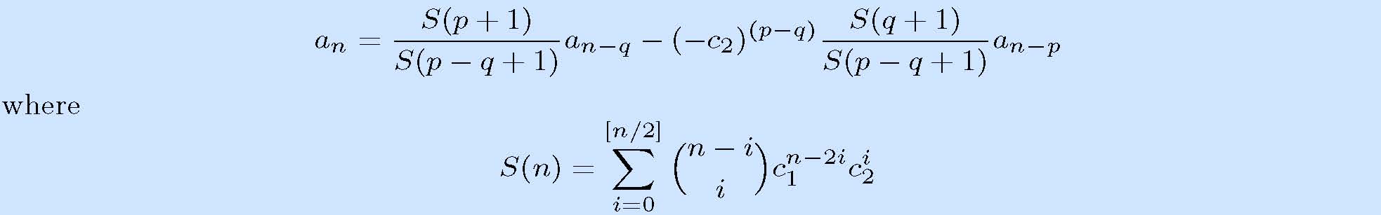
Abstract.   This paper introduces a closed-form expression for the second-order recurrence relation
an = c1a n - 1 + c2a n - 2, in which c1 and c2 are fixed constants and the value of two arbitrary terms a n - p and a n - q are known where p and q are positive integers and p > q. This expression is  
strom


Keywords:  Second-order recurrence; characteristic polynomial; closed-form solution.  

AMS Subject classification: Primary:  11B37, 11B39.  



PDF                               Compressed Postscript                                 Version to read









Acta Mathematica Universitatis Comenianae
ISSN 0862-9544   (Printed edition)

Faculty of Mathematics, Physics and Informatics
Comenius University
842 48 Bratislava, Slovak Republic  

Telephone: + 421-2-60295111 Fax: + 421-2-65425882  
e-Mail: amuc@fmph.uniba.sk    Internet: www.iam.fmph.uniba.sk/amuc
© 2011, ACTA MATHEMATICA UNIVERSITATIS COMENIANAE