![]() |
Journal of Integer Sequences, Vol. 1 (1998), Article 98.1.5 |
Abstract: We consider the number of triangles formed by the intersecting diagonals of a regular polygon. Basic geometry provides a slight overcount, which is corrected by applying a result of Poonen and Rubinstein [1]. The number of triangles is 1, 8, 35, 110, 287, 632, 1302, 2400, 4257, 6956 for polygons with 3 through 12 sides.
Introduction
If we connect all vertices of a regular N-sided polygon
we obtain a figure with
=
N (N - 1) / 2 lines. For N=8, the figure is:

Careful counting shows that there are 632 triangles in this eight sided figure.
Derivation
All triangles are formed by the intersection of three diagonals at three different points. There are five arrangements of three diagonals to consider. We classify them based on the number of distinct diagonal endpoints. We will directly count the number of triangles with 3, 4 and 5 endpoints (top three figures). We will count the number of potential triangles with 6 endpoints, then correct for the false triangles. In each of the following five figures, a sample triangle is highlighted.
Three, Four and Five Diagonal Endpoints
![]() |
3 diagonal endpoints. There are 56 such triangles in the figure at left.
The number of triangles formed by diagonals
with a total of three endpoints is simply |
![]() |
4 diagonal endpoints. There are 280 such triangles in the figure at left.
There are |
![]() |
5 diagonal endpoints There are 280 such triangles in the figure at left. For each of the N vertices of the polygon, there
are four other diagonal endpoints which can be
placed on the N-1 remaining locations. Thus
there are |
Six diagonal endpoints
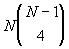
The number of potential triangles formed by 6 line segments is
, since there are 6 segment endpoints to be chosen from a pool of N. Often potential triangles
are not created by three overlapping line segments because the line segments intersect at a single point.
counts both of the following two situations.
![]() |
6 diagonal endpoints, resulting in triangle. There are 16 such triangles in the figure at left. |
![]() |
6 diagonal endpoints, false triangle. There are 9 interior intersection points in the figure at left where such false triangles can be formed. |
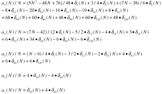
We use a result of [1] to count these false triangles. As in that paper, for a regular N-sided polygon, let am(N) denote the number of interior points other than the center where m diagonals intersect. Surprisingly, only the values m = 2, 3, 4, 5, 6 or 7 may occur. The requisite formulae from [1] are reproduced here:

where
if
, 0 otherwise.
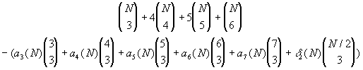
If there are K line segments that intersect at one common point, where K>2, there are
false triangles corresponding to that point. Thus the correction term for
false triangles is ![]()
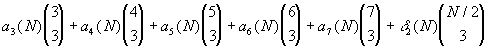
where the last term represents the contribution of the center point for even N. The correction is 0 for odd N. The number of triangles formed by line segments with six endpoints on the polygon is then:
![]()
Result
The table below summaries the results for
. These values were checked through use of a computer program performing an exhaustive search.
| N | Triangles with 3 diagonal endpoints | Triangles with 4 diagonal endpoints | Triangles with 5 diagonal endpoints | Triangles with 6 diagonal endpoints | Total Number of Triangles |
| 3 | 1 | 0 | 0 | 0 | 1 |
| 4 | 4 | 4 | 0 | 0 | 8 |
| 5 | 10 | 20 | 5 | 0 | 35 |
| 6 | 20 | 60 | 30 | 0 | 110 |
| 7 | 35 | 140 | 105 | 7 | 287 |
| 8 | 56 | 280 | 280 | 16 | 632 |
| 9 | 84 | 504 | 630 | 84 | 1302 |
| 10 | 120 | 840 | 1260 | 180 | 2400 |
| 11 | 165 | 1320 | 2310 | 462 | 4257 |
| 12 | 220 | 1980 | 3960 | 796 | 6956 |
| 13 | 286 | 2860 | 6435 | 1716 | 11297 |
| 14 | 364 | 4004 | 10010 | 2856 | 17234 |
| 15 | 455 | 5460 | 15015 | 5005 | 25935 |
| 16 | 560 | 7280 | 21840 | 7744 | 37424 |
| 17 | 680 | 9520 | 30940 | 12376 | 53516 |
| 18 | 816 | 12240 | 42840 | 17508 | 73404 |
| 19 | 969 | 15504 | 58140 | 27132 | 101745 |
| 20 | 1140 | 19380 | 77520 | 38160 | 136200 |
The sequence formed by the total number of triangles was studied by the late Victor Meally in the 1960's, although it appears he did not find our formula for the N-th term. This is sequence A006600 in the On-Line Encyclopedia of Integer Sequences.
To summarize the final result, the number of triangles generated by intersecting diagonals of an N-regular polygon is:

References
[1] Bjorn Poonen, Michael Rubinstein, The Number of Intersection Points Made by the Diagonals of a Regular Polygon, SIAM J. Disc. Math. 11 (1998), 133-156. Note that Theorem 1 has a typographical error: in the second line: 232 should be replaced by 262.
Received February 24 1998; published in Journal of Integer Sequences, April 26 1998.