E. A. Utkina

On a partial differential equation in 4-dimensional Euclidean space

(Lobachevskii Journal of Mathematics, Vol.18, pp.151-175 )


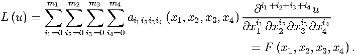
The objective of this article is to construct in a hyper-rectangular region of the 4-dimensional Euclidean space a solution of the Goursat problem for the following equation:

        m1  m2  m3  m4
        ∑   ∑  ∑   ∑                        --∂i1+i2+i3+i4u---
L (u) =                ai1i2i3i4 (x1,x2,x3,x4) ∂xi1∂xi2∂xi3∂xi4
        i1=0i2=0i3=0i4=0                         1   2   3   4
                                              = F (x1,x2,x3,x4) .

 

 

DVI format (163Kb), ZIP-ed DVI format (27Kb),

ZIP-ed PostScript format (189Kb),    ZIP-ed PDF format (131Kb),

MathML Format