Abstract. Stephen Wassell replies to the question posed by geometer Marcus the Marinite: If one can define arithmetic and geometric sequences, can one define a harmonic sequence?

Click here to go to the NNJ homepage

Arithmetic, Geometric and Harmonic Sequences

Stephen R. Wassell
Department of Mathematical Sciences
Sweet Briar College
Sweet Briar, Virginia USA

Asking the right question is half the battle. Ever the investigative geometer, Marcus the Marinite came up with an excellent question involving the three principal means. If one can define arithmetic and geometric sequences, can one define a harmonic sequence? [1] It turns out that the answer has some interesting nuances. Although the answer is yes, the main distinction is that the numbers in a harmonic sequence do not increase indefinitely to ¥ as they do in arithmetic and geometric sequences. In developing the answer, an easily applied general form of a harmonic sequence is obtained.

First we should agree on terminology and notation. An arithmetic sequence can be defined as a never-ending list of (real) numbers such that, taking any three in a row, the second is the arithmetic mean of the first and third. An example would be {4,8,12,16, ...}. Using mathematical notation to generalize this, let {a0,a1,a2,a3, ...}be the never-ending list of numbers and let an-1, an, an+1be any three in a row; then for this to be an arithmetic sequence, it must be the case that . It may be more intuitive to consider the general form of an arithmetic sequence: start with any number, say a, and add successive terms of a second number, say r, as follows: {a, a+r, a+2r, ...} . In the above example, a=r=4; as another example, let a=5 and r=2 to get {5,7,9,11, ...}. To check the general form, note that a0=a, a1=a+r, a2=a+2r, ..., an=a+nr, which means

,

as is supposed to be the case.

The situation is directly analogous for a geometric sequence, whereby the second of any three numbers in a row must be the geometric mean of the first and third. Using the same notation as above, the requirement is that . The general form also follows the above discussion, with addition replaced by multiplication: {a, ar, ar2, ar3, ...}. That is, an=arn , so that

,

as required. For examples, we can take a=r=3 to get {3,9,27,81,...} or a=5 and r=2 to get {5,10,20,40,...}.[2]

We easily see that the list of numbers comprising an arithmetic or a geometric sequence increases without bound. In the examples we have been using positive numbers. We could consider negative arithmetic or geometric sequences that decrease without bound, e.g., {-4,-8,-12,-16, ...} or {-3,-9,-27,-81, ...}. Better still, we can think of bi-directional sequences, e.g., the arithmetic sequence {...,-16,-12,-8,-4,0,4,8,12,16, ...} or the geometric sequence .[3]

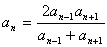
We can follow the same setup with a harmonic sequence, requiring that the second of any three numbers in a row is the harmonic mean of the first and third, i.e., that . The complication is that the general form for a harmonic sequence is much less intuitive, and this is undoubtedly why Marcus posed his question to me. My first instinct was to start with two (positive real) numbers x and y, and find the formula for the value z such that x, y, z is that start of a harmonic sequence. This same formula can then be applied to y and z in order to generate the next number in the harmonic sequence, and so forth as far as is necessary.

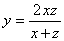
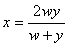
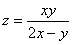
The formula for z in terms of x and y is straightforward to generate. We simply need for y to be the harmonic mean of x and z, i.e.,

.

Solving this for z yields the desired formula:

.

For example, if we start with x = 6 and y = 8, we get z = 12, which reproduces part of a noteworthy example of Nicomachus.[4] To get the next number in this harmonic sequence, apply the formula to 8 and 12 to get 24. Ah, but now if we try the formula again with 12 and 24 we get a zero denominator, and so the next term is ostensibly ¥! Our first harmonic sequence is short-lived.

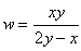
We can find a formula for the reverse direction of a bi-directional harmonic sequence by finding w such that w, x, y is a harmonic triplet. That is, we solve for w to get . Applying this to x = 6 and y = 8 yields w = 24 / 5 = 4.8. As will be shown below, the reverse direction always decreases indefinitely, approaching 0 but never reaching it.

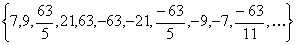
Returning to the forward direction, we see that if at any point in the generation of a harmonic sequence, the last number is double the second-to-last number, we will get a zero denominator if we try to find the next number in the sequence. What if this is not the case? Experimentation seems to indicate the alternative is that at some point the last number will be greater than the second-to-last number, in which case the new denominator will be negative, and in fact the sequence will be negative from this point onwards![5] Here are two examples:

, and
.

We see that the forward direction either repeats the same magnitudes as in the reverse direction (as in the second example) or takes a different path in approaching zero (as in the first example).[6]

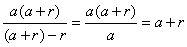
After fiddling with examples and noticing patterns, I discovered that referring back to the general form of the arithmetic and geometric sequences is most helpful.[7] We always start with two given numbers, say a and r. For an arithmetic sequence, start with a and add successive terms of r; to go in the reverse (which would then involve negative numbers), subtract r rather than add. For a geometric sequence, start with a and multiply successive factors of r; to go in the reverse (which would then involve positive numbers decreasing to 0), divide r rather than multiply. Well, believe it or not, there is a rather convoluted but analogous approach to generate a harmonic sequence. Start with a, but think of it as . Then subtract successive terms of r from the denominator (not a standard operation on fractions, admittedly!); to go in the reverse, add r rather than subtract.[8]

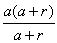
Focusing on the forward direction of the sequence, it is easy to see that a's successor is:

,

which happens to be the same as in the arithmetic sequence. Continuing in this manner, the next three terms are

, ,.

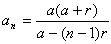
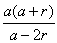
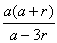
In other words, the general form is

,

which answers Marcus's question.[9] Because a's successor is just a+r, this makes it fairly easy to apply the formula when starting with two numbers x and y (just take a to be x and r to be y-x). This is the end of the story — except for the proof of correctness, which comprises the remainder of this paper.

To prove the validity of the general form, suppose we are given any harmonic sequence; we need to show that it can be realized with our general form. Pick a to be the first (actually, the 0th) sequence number, or, if the given harmonic sequence is bi-directional, pick a to be any sequence number. Then choose r to be the difference between a and a's successor. These two numbers determine the entire harmonic sequence, since any other sequence numbers are constrained by the harmonic triplet criterion. We can now test this criterion against our general form. Clearly, a0=a and a1=a+r, as desired. And a simple calculation shows that any three numbers in a row, an-1, an, an+1, comprise a harmonic triplet.[10] Naturally, the reverse direction of a bi-directional harmonic sequence is obtained by taking negative integer values for n.

As for the claims about the behavior of harmonic sequences, let us revisit the perspective whereby we start with a written as and then subtract successive terms of r from the denominator. This makes the successive denominators smaller, resulting in an increasing sequence, at least to start. Eventually, however, one of two possibilities will occur. If, and only if, r is a divisor of a, then at some point the denominator will become 0, and the sequence will end at ¥. If r is not a divisor of a, then the denominator will stay positive until the smallest multiple of r that exceeds a is reached, in which case the denominator will become negative. All sequence numbers from this point onwards will be negative, and since the magnitude of the denominator will get larger and larger (in the negative direction) at each step, the magnitudes of the sequence numbers will get smaller and smaller, approaching 0 (from the negative direction). Finally, starting with a once again, going in the reverse direction is achieved by adding successive terms of r to the denominator rather than subtracting. Thus the denominator will stay positive and will increase steadily without bound, resulting in the sequence numbers (in the reverse direction) approaching 0, as was claimed above.

NOTES
[1] One could substitute the term 'progression' for 'sequence', but it would be incorrect, mathematically speaking, to use the term 'series', as some authors do. In mathematics, a series is an infinite sum of terms, whereas a sequence is an infinite list of terms (as is a progression). return to text

[2] Perhaps the most important classical use of geometric sequences is in the "Pythagorean lambda", which "is replete with arithmetic, geometric and harmonic means" [March 1998: 73]. See also [Wittkower 1998: 105-106; March 1998: 76, 96; Kappraff 2000: 48]. The Pythagorean lambda is based upon the geometric sequences {1,2,4,8,...}and {1,3,9,27,...}. return to text

[3] It is interesting that for geometric sequences, negative numbers are not as naturally unified with positive numbers, as they are with the arithmetic sequences. return to text

[4] In the concluding chapter of his highly influential treatise, Nicomachus offers the proportion 6:8::9:12 as an example of "the most perfect proportion" [Nicomachus 1926: 284-286; cf. March 1998: 96]. return to text

[5] Since we start with two positive numbers to begin the process, the sequence will stay positive until this situation just described occurs. return to text

[6] In either case, it is interesting to take the view that +¥ and -¥ are one and the same, as is sometimes done in 'completing' the real number system by adding a single 'point' called, simply, ¥. With this viewpoint, harmonic sequences that do not 'dead end' on ¥ instead 'pass through' ¥ and proceed to the negative side of the real number line. After this, such harmonic sequences then increase to 0 just as the reverse direction decreases to 0. return to text

[7] A search of the mathematical literature did not produce any ready-made formulas for harmonic sequences; if the reader knows of a suitable reference to this material, I would be grateful to be informed. return to text

[8] This process may make some intuitive sense if an alternate formulation for the harmonic mean is used, namely that its reciprocal is the arithmetic mean of the reciprocals of the extremes; in other words, for y to be the harmonic mean of x and z, . Getting a common denominator between 1/x and 1/z leads to the expression xz, which roughly corresponds to a(a+r) in the numerator of the expression above (this may make more sense after reading the next footnote). Moreover, subtracting successive terms of r from the denominator somehow corresponds to the arithmetic sequence process of adding successive terms of r (to the numerator). return to text

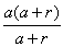
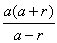
[9] A more attractive general formula may be obtained by setting x=a and y=a+r. Then the first five terms become

, , , ,

(subtracting r from the denominator in successive steps is equivalent to adding x-y). Thus the general formula for a harmonic sequence can be written:

.
return to text

[10] Here it is easier to use the alternate formula for the harmonic mean described in footnote 8; in other words, check that


return to text

REFERENCES
Kappraff, Jay. 2000. The Arithmetic of Nicomachas of Gerasa and its Applications to Systems of Proportion. Pp.41-55 in Nexus Network Journal 2.

March, Lionel. 1998. Architectonics of Humanism: Essays on Number in Architecture. Chichester, West Sussex: Academy Editions.To order this book from Amazon.com, click here.

Nicomachus. 1926. Nicomachus of Gerasa: An Introduction to Arithmetic. Martin Luther D'Ooge, trans. New York: Macmillan.

Wittkower, Rudolf. 1998. Architectural Principles in the Age of Humanism. Chichester, West Sussex: Academy Editions.To order this book from Amazon.com, click here.

RELATED SITES ON THE WWW
Palladio's Arithmetic Mean
Palladio's Geometric Mean
Palladio's Harmonic Mean
The Mathematical Atlas: Sequences, Series, Summability
Computing Arithmetic, Geometric and Harmonic Means
Mathematics of the Fibonacci Series

ABOUT THE AUTHOR
Stephen R. Wassell
is the Mathematics Editor of the NNJ.

 The correct citation for this article is:
Stephen R. Wassell, Arithmetic, Geometric and Harmonic Sequences, Nexus Network Journal, vol. 3, no. 4 (Autumn 2001), http://www.nexusjournal.com/GA3-4-Wassell.html

NNJ is an Amazon.com Associate
The Nexus Network Journal is published by Kim Williams Books
Copyright ©2005 Kim Williams Books

top of page

NNJ Homepage

Geometer's Angle Homepage

About the Author

Comment on this article

Related Sites on the WWW

Order books!

Research Articles

Didactics

Conference and Exhibit Reports

Book Reviews

The Virtual Library

Submission Guidelines

Top of Page