Bulletin of TICMI

11


 

 

 

ABSTRACTS OF MINISIMPOSIUM

1996

 

ON A CONSTRUCTION OF DISCONTINUOUS SOLUTIONS FOR EQUATIONS

OF IDEAL LIQUID USING COUPLED VORTICAL AND POTENTIAL FLOW MODELS

 

R. Bochorishvili

 

I. Vekua Institute of Applied Mathematics

I. Javakhishvili Tbilisi State University

 

1. Stationary equations of ideal liquid in two space dimensions.

 

(1)

 

(2)

 

where P is a pressure, =(u1,u2)T is a velocity vector, =const.

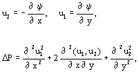
2. Regularity requirement and simplified models. It is well known that under requirements ,P Î C2 the system (1),(2) can be reduced to linear equations. Namely in the case of vortical flow, i.e. rot ¹ 0 , (1),(2) can be reduced to the following system

 

(3)

 

is stream function,

 

(4)


(5)

 

or in the case of potential flow, i.e. rot= 0, to the Laplase equation

 

(6)

 

is a potential function,

 

(7) =grad ,

 

but Poissons equation for pressure is the same as (5).

3. Formulation of a problem. Let be a domain with sufficiently smooth boundary g . Let a flow be potential in and it be vortical in . Find out interface boundary conditions ensuring the solution constructed by coupling of solutions of corresponding simplified problems to be a weak discontinuous solution of(1),(2) in R2.

4. Interface boundary conditions. The system (1),(2) may have discontinuous weak solution

 

 

3 4 5 6 7 8

9 10 11 12 13 14 15

16 17 18 19 20 21 22 - pages